Free Access

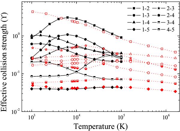
Fig. 3

thumbnail

Comparison of effective collision strengths of S8+ with the R-matrix results of Butler and Zeippen (1994) for transitions of the ground configuration 2s22p4. Filled symbols with solid curves are results of Butler and Zeippen (1994), while open symbols with dotted curves corresponds to the present ICFT R-matrix calculation. Note: The same symbol in the two sets of results corresponds to the same transition. (Colour online)

Current usage metrics show cumulative count of Article Views (full-text article views including HTML views, PDF and ePub downloads, according to the available data) and Abstracts Views on Vision4Press platform.

Data correspond to usage on the plateform after 2015. The current usage metrics is available 48-96 hours after online publication and is updated daily on week days.

Initial download of the metrics may take a while.