Free Access

Fig. 2

thumbnail

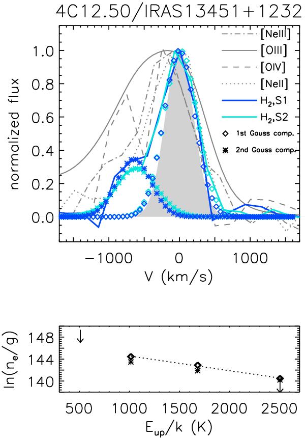
Upper panel: normalized, continuum-subtracted molecular and ionized gas line profiles for 4C 12.50. In addition to the profiles of the MIR lines, the 5007 Å [O iii] profile that is convolved to the resolution of IRS is presented for comparison. The blue wing is detected in all lines except for the unresolved S3. Lower panel: H2 excitation diagram constructed separately for the primary Gaussian component (open diamonds) and the secondary Gaussian component (stars) of each H2 line.

Current usage metrics show cumulative count of Article Views (full-text article views including HTML views, PDF and ePub downloads, according to the available data) and Abstracts Views on Vision4Press platform.

Data correspond to usage on the plateform after 2015. The current usage metrics is available 48-96 hours after online publication and is updated daily on week days.

Initial download of the metrics may take a while.