Free Access

Fig. 16

thumbnail

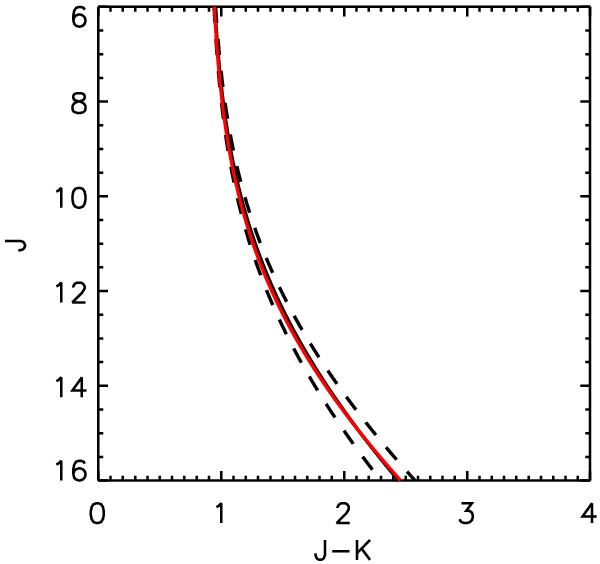
The black curve represents the locus of typical red giant stars at different distances along a line of sight with an extinction of cK = 0.15 kpc-1 and E(J − Ks) = 1.5    ±    0.2   AKs as determined by Indebetouw et al. (2005) for the diffuse ISM. The dashed curves represent the error estimates by these authors. The red curve (on top of the full drawn black curve) represents our determination of star #2 with cK = 0.105 kpc-1 and E(J − Ks) = 1.96   AKs.

Current usage metrics show cumulative count of Article Views (full-text article views including HTML views, PDF and ePub downloads, according to the available data) and Abstracts Views on Vision4Press platform.

Data correspond to usage on the plateform after 2015. The current usage metrics is available 48-96 hours after online publication and is updated daily on week days.

Initial download of the metrics may take a while.