Free Access

Fig. 5

thumbnail

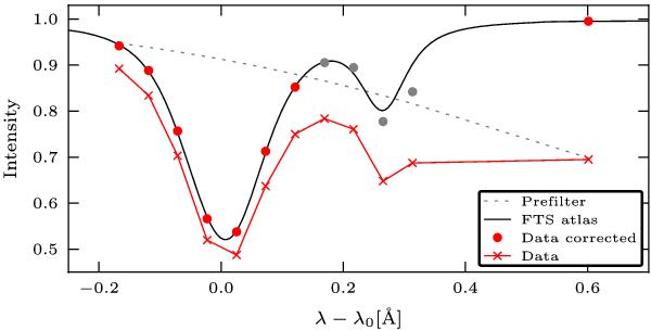
The prefilter shape (dashed line) is determined by matching the uncorrected average spectrum (crosses) to the FTS convolved with the CRISP transmission (full black line). After correcting for the prefilter, an excellent match is found (red circles). The points in the telluric line (gray circles) were not used in the procedure.

Current usage metrics show cumulative count of Article Views (full-text article views including HTML views, PDF and ePub downloads, according to the available data) and Abstracts Views on Vision4Press platform.

Data correspond to usage on the plateform after 2015. The current usage metrics is available 48-96 hours after online publication and is updated daily on week days.

Initial download of the metrics may take a while.