Free Access

Fig. 9

image

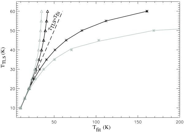
Temperature derived using the TLS model (TTLS   ) using the standard parameters given in Table 4, as a function of temperature derived from a modified black-body fit with a free β parameter (Tfit) in the IRAS 100    μm – Herschel 160, 250, 350, and 500    μm channels (black stars), and in the IRAS 100    μm – Planck 350, 550, and 850    μm channels (gray stars). The triangles show the temperatures derived from a modified black-body fit with β = 2, using the IRAS-Herschel channels (black) and the IRAS-Planck channels (gray). The dashed line corresponds to Tfit = TTLS   . The continuous lines show the best polynomial fits.

Current usage metrics show cumulative count of Article Views (full-text article views including HTML views, PDF and ePub downloads, according to the available data) and Abstracts Views on Vision4Press platform.

Data correspond to usage on the plateform after 2015. The current usage metrics is available 48-96 hours after online publication and is updated daily on week days.

Initial download of the metrics may take a while.