Press Release
Free Access

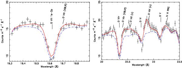
Fig. 3

thumbnail

Broad and narrow X-ray emission lines of O viii Ly α (left) and O vii (right). The model without any broad lines is shown as the dashed-dotted line, while the model (model 2) with the lines and RRC included (marked as XBLR and n) is shown as a solid line.

This figure is made of several images, please see below:

Current usage metrics show cumulative count of Article Views (full-text article views including HTML views, PDF and ePub downloads, according to the available data) and Abstracts Views on Vision4Press platform.

Data correspond to usage on the plateform after 2015. The current usage metrics is available 48-96 hours after online publication and is updated daily on week days.

Initial download of the metrics may take a while.