Free Access

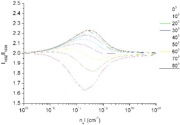
Fig. 4

thumbnail

Plot of the O vi 1032/1038 emission line intensity ratio as a function of column density nel for the infinite plane slab plasma illustrated in Fig. 3, for various values of angle of observation θ. (This figure is available in color in electronic form.)

Current usage metrics show cumulative count of Article Views (full-text article views including HTML views, PDF and ePub downloads, according to the available data) and Abstracts Views on Vision4Press platform.

Data correspond to usage on the plateform after 2015. The current usage metrics is available 48-96 hours after online publication and is updated daily on week days.

Initial download of the metrics may take a while.