Free Access

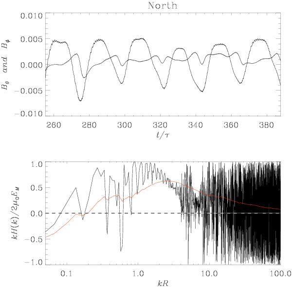
Fig. 18

thumbnail

Helicity in the northern outer atmosphere. The values are written out at the point, r = 1.5   R, 90° − θ = 17°, and φ = 9°. Top panel: phase relation between the toroidal Bφ and poloidal Bθ field, plotted over time t/τ. Bottom panel: helicity H(k) is plotted over normalized wave number kR. The helicity is calculated with the Taylor hypothesis using the Fourier transformation of the poloidal and toroidal field.

Current usage metrics show cumulative count of Article Views (full-text article views including HTML views, PDF and ePub downloads, according to the available data) and Abstracts Views on Vision4Press platform.

Data correspond to usage on the plateform after 2015. The current usage metrics is available 48-96 hours after online publication and is updated daily on week days.

Initial download of the metrics may take a while.