Free Access

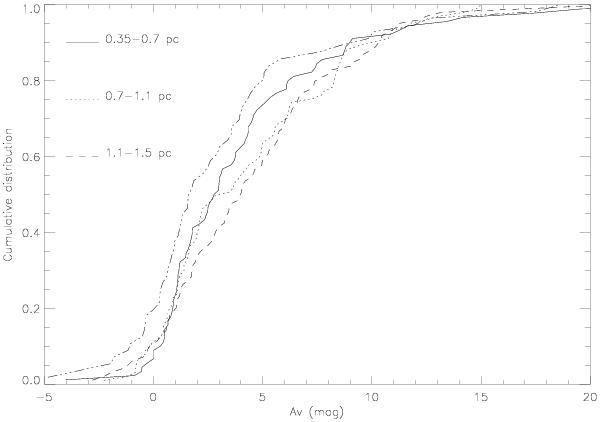
Fig. 6

thumbnail

The derived extinction for sources in the ONC within the magnitude limits 10.5 < H < 18 mag, which corresponds to the range from where the ratio of stars to brown dwarfs is determined.

Current usage metrics show cumulative count of Article Views (full-text article views including HTML views, PDF and ePub downloads, according to the available data) and Abstracts Views on Vision4Press platform.

Data correspond to usage on the plateform after 2015. The current usage metrics is available 48-96 hours after online publication and is updated daily on week days.

Initial download of the metrics may take a while.