Free Access

Fig. 2

thumbnail

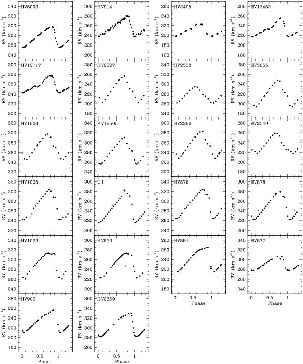
The new radial velocity curves for 22 LMC Cepheids from HARPS and FEROS (HV 914 and HV 12717) data. The crosses indicate points that have not been used in the analysis. The radial velocity range in each panel is 120 km s-1 so the amplitudes in the panels are directly comparable. The panels are arranged according to increasing pulsational period.

Current usage metrics show cumulative count of Article Views (full-text article views including HTML views, PDF and ePub downloads, according to the available data) and Abstracts Views on Vision4Press platform.

Data correspond to usage on the plateform after 2015. The current usage metrics is available 48-96 hours after online publication and is updated daily on week days.

Initial download of the metrics may take a while.