Free Access

Fig. 9

thumbnail

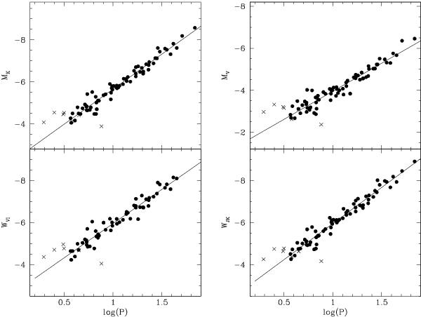
The period-luminosity relations based on the IRSB luminosities for our sample of Milky Way Cepheids in the K- and V-bands as well as in the Wesenheits indices. The filled circles represent the fundamental mode Cepheids, and the crosses indicate stars which have been disregarded in the linear regression for reasons mentioned in the text.

Current usage metrics show cumulative count of Article Views (full-text article views including HTML views, PDF and ePub downloads, according to the available data) and Abstracts Views on Vision4Press platform.

Data correspond to usage on the plateform after 2015. The current usage metrics is available 48-96 hours after online publication and is updated daily on week days.

Initial download of the metrics may take a while.