Free Access

Fig. 7

thumbnail

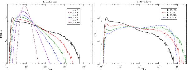
Left panel: the distribution of void particle local densities of the model L100.100 as a function of redshift. Right panel: the distributions of void particle local densities at the present epoch of the models of the series L100 with different cutoff wavelengths.

This figure is made of several images, please see below:

Current usage metrics show cumulative count of Article Views (full-text article views including HTML views, PDF and ePub downloads, according to the available data) and Abstracts Views on Vision4Press platform.

Data correspond to usage on the plateform after 2015. The current usage metrics is available 48-96 hours after online publication and is updated daily on week days.

Initial download of the metrics may take a while.