Free Access

Fig. A.3

thumbnail

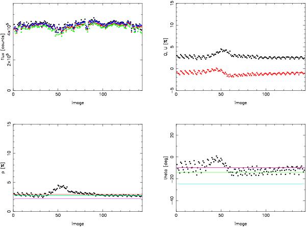
Fluxes and polarization parameters of IRS 16C plotted against time of observation. Upper left: flux measured in four channels. Upper right: Q (black) and U (red). Lower left: polarization degree. Lower right: polarization angle. The plotted lines represent the polarization parameters obtained on the complete mosaic by aperture photometry (red), PSF fitting photometry using the IRS 16 stars (light blue) resp. the IRS 1 stars (magenta), resp. the final value after deconvolution assisted PSF fitting photometry (green).

Current usage metrics show cumulative count of Article Views (full-text article views including HTML views, PDF and ePub downloads, according to the available data) and Abstracts Views on Vision4Press platform.

Data correspond to usage on the plateform after 2015. The current usage metrics is available 48-96 hours after online publication and is updated daily on week days.

Initial download of the metrics may take a while.