Free Access

Fig. 4

thumbnail

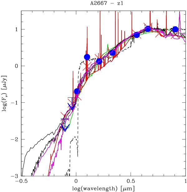
Observed visible to near-IR part of the SED of z1 (blue circles) and best-fit models to this spectral range: using the Polletta et al. (2007) templates and no additional extinction (green line), black lines: using the Chary & Elbaz (2001) and Bruzual & Charlot (2003) templates with variable attenuation described by the Calzetti law, magenta: same as black lines, but adoption the SMC extinction law, red line (continuum) and red crosses (synthetic flux in filters): Bruzual & Charlot (2003) templates with nebular emission and SMC law, black dashed: high-redshift (z = 7.5) template from Laporte et al. (2011, dashed line). In all cases the best-fit redshift is z ≈ 1.5–1.7, except for Polletta’s templates.

Current usage metrics show cumulative count of Article Views (full-text article views including HTML views, PDF and ePub downloads, according to the available data) and Abstracts Views on Vision4Press platform.

Data correspond to usage on the plateform after 2015. The current usage metrics is available 48-96 hours after online publication and is updated daily on week days.

Initial download of the metrics may take a while.