Free Access

Fig. 1

thumbnail

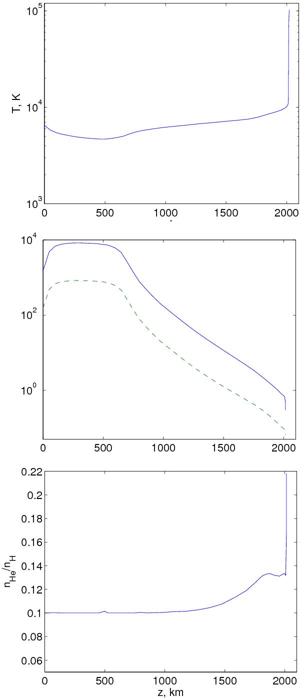
Height dependence of atmospheric parameters according to FAL93-3 model (Fontenla et al. 1993). Upper panel: the plasma temperature. Middle panel: blue solid line – the ratio of neutral hydrogen and electron number densities, nH/ne; green dashed line – the ratio of neutral helium and electron number densities, nHe/ne. Lower panel: the ratio of neutral helium and neutral hydrogen number densities, nHe/nH.

This figure is made of several images, please see below:

Current usage metrics show cumulative count of Article Views (full-text article views including HTML views, PDF and ePub downloads, according to the available data) and Abstracts Views on Vision4Press platform.

Data correspond to usage on the plateform after 2015. The current usage metrics is available 48-96 hours after online publication and is updated daily on week days.

Initial download of the metrics may take a while.