Free Access

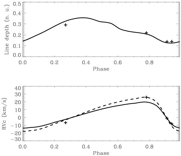
Fig. 4

thumbnail

The line depth (up) and the first moment radial velocity (down) corresponding to the infrared CRIRES spectral line of  Car (crosses) is compared to the optical 4896A HARPS spectral line of similar depth (solid line). The meaning of the dashed line is explained in the text.

Current usage metrics show cumulative count of Article Views (full-text article views including HTML views, PDF and ePub downloads, according to the available data) and Abstracts Views on Vision4Press platform.

Data correspond to usage on the plateform after 2015. The current usage metrics is available 48-96 hours after online publication and is updated daily on week days.

Initial download of the metrics may take a while.