Free Access

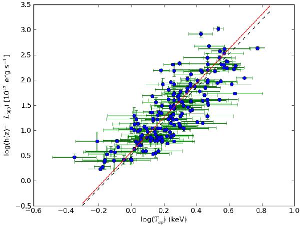
Fig. 12

thumbnail

The relation between the X-ray bolometric luminosities L500 and aperture temperatures Tap of the first cluster sample. The solid line indicates the best fit of the sample using orthogonal distance regression (ODR). The dashed line is the extrapolated relation for REXCESS sample (Pratt et al. 2009) using a BCES orthogonal fit.

Current usage metrics show cumulative count of Article Views (full-text article views including HTML views, PDF and ePub downloads, according to the available data) and Abstracts Views on Vision4Press platform.

Data correspond to usage on the plateform after 2015. The current usage metrics is available 48-96 hours after online publication and is updated daily on week days.

Initial download of the metrics may take a while.