Highlight
Free Access

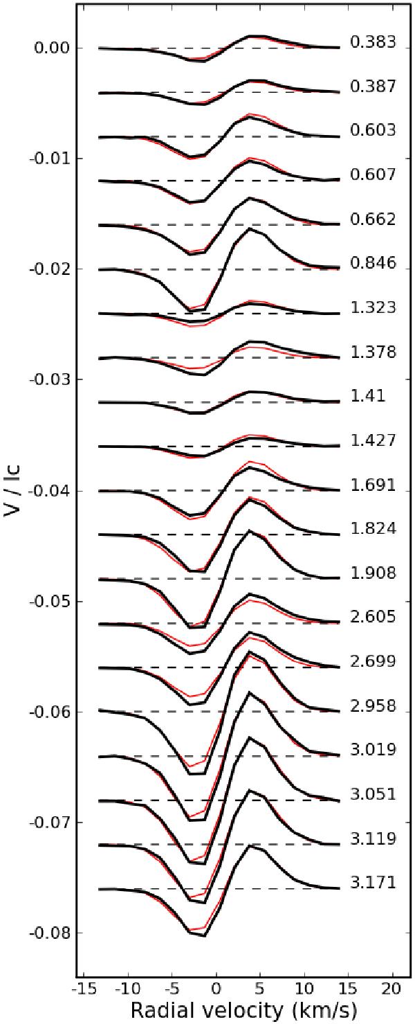
Fig. 5

thumbnail

Fit of our best-fit model (for Prot = 308.8 d, i = 60°) (thin red curves) to the Stokes V LSD profiles (thick black curves), after correction of the mean radial velocity of the star. Rotational phases (according to the ephemeris of DBSS10) are indicated.

Current usage metrics show cumulative count of Article Views (full-text article views including HTML views, PDF and ePub downloads, according to the available data) and Abstracts Views on Vision4Press platform.

Data correspond to usage on the plateform after 2015. The current usage metrics is available 48-96 hours after online publication and is updated daily on week days.

Initial download of the metrics may take a while.