Highlight
Free Access

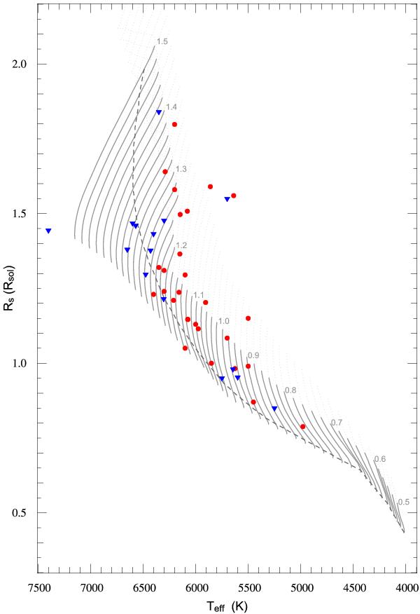
Fig. 1

thumbnail

Main sequence showing the Geneva stellar evolution tracks for solar metallicity as presented in Mowlavi et al. (2011) and plotted using R   (in R) as a function of Teff. Tracks are labelled in units of M. Dashed line show the 2 Gyr isochrone. Overplotted are the systems for which we have Rossiter-McLaughlin measurements. Aligned systems are red circles, misaligned systems are blue triangles. Higher metallicities will move the tracks to the right. Data obtained from Exoplanet.eu.

Current usage metrics show cumulative count of Article Views (full-text article views including HTML views, PDF and ePub downloads, according to the available data) and Abstracts Views on Vision4Press platform.

Data correspond to usage on the plateform after 2015. The current usage metrics is available 48-96 hours after online publication and is updated daily on week days.

Initial download of the metrics may take a while.