Free Access

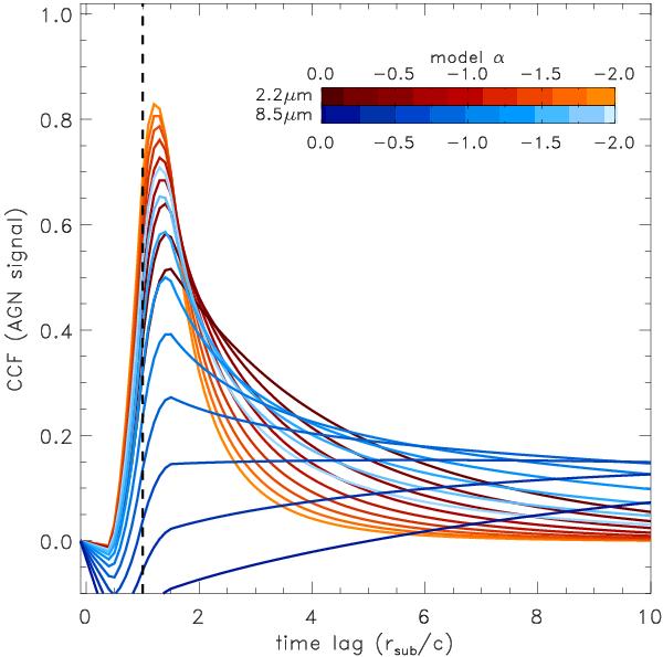
Fig. 3

thumbnail

Model cross-correlation function (CCF) for light curves of AGN variability at 2.2   μm (red) and 8.5   μm (blue). From dark to light the distribution changes from very extended (α = 0.0) to very compact (α =  −2.0). The dashed line marks a lag time of rsub/c.

Current usage metrics show cumulative count of Article Views (full-text article views including HTML views, PDF and ePub downloads, according to the available data) and Abstracts Views on Vision4Press platform.

Data correspond to usage on the plateform after 2015. The current usage metrics is available 48-96 hours after online publication and is updated daily on week days.

Initial download of the metrics may take a while.