Free Access

Fig. 5

thumbnail

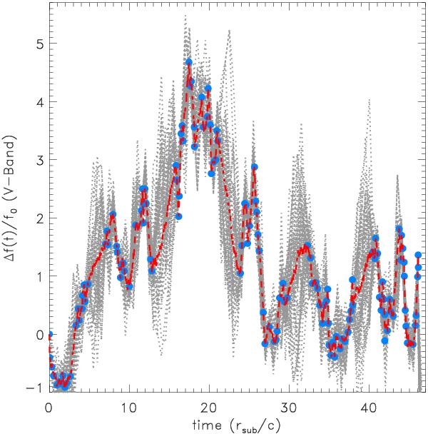
Observed and interpolated V-band light curve of NGC 4151. The blue filled circles are the observed V data points. Error bars are plotted but smaller than the symbols in most cases. Based on these observations, 50 interpolated light curves have been calculated and are shown as gray dotted lines, reflecting the uncertainty of the “true” light curve. The red dashed line indicates the mean of all these models, which has been used as the input signal to our model simulations.

Current usage metrics show cumulative count of Article Views (full-text article views including HTML views, PDF and ePub downloads, according to the available data) and Abstracts Views on Vision4Press platform.

Data correspond to usage on the plateform after 2015. The current usage metrics is available 48-96 hours after online publication and is updated daily on week days.

Initial download of the metrics may take a while.