Highlight
Free Access

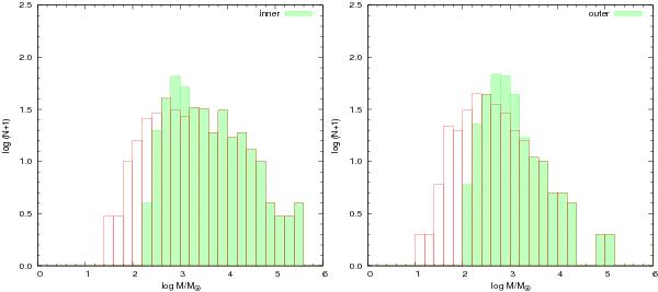
Fig. 8

thumbnail

Distribution of the cluster mass in the inner and outer disk of M 33. We plot the log of mass (in solar units) and of N + 1 (where N is the number of clusters in each mass bin), respectively. The grey and white histograms are for the masses computed with or without incompletness corrections (see Sect. 5), respectively.

This figure is made of several images, please see below:

Current usage metrics show cumulative count of Article Views (full-text article views including HTML views, PDF and ePub downloads, according to the available data) and Abstracts Views on Vision4Press platform.

Data correspond to usage on the plateform after 2015. The current usage metrics is available 48-96 hours after online publication and is updated daily on week days.

Initial download of the metrics may take a while.