Free Access

Fig. 2

thumbnail

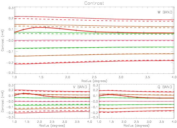
The 1σ (green lines), 2σ (brown lines), and 3σ (red lines) excess temperature contrast (in mk/pixel) curves (in the W, V, and Q bands) along with the mean profile (pink line close to zero) for 500 random control fields (continuous lines) and 500 simulated CMB sky maps (dashed lines). In red, the observed temperature contrast profile in the M 31 disk (with 1σ errors) is given. The WMAP maps with the Galactic disk contribution modeled and removed (foreground-reduced maps) are used here.

Current usage metrics show cumulative count of Article Views (full-text article views including HTML views, PDF and ePub downloads, according to the available data) and Abstracts Views on Vision4Press platform.

Data correspond to usage on the plateform after 2015. The current usage metrics is available 48-96 hours after online publication and is updated daily on week days.

Initial download of the metrics may take a while.