Free Access

Fig. 3

thumbnail

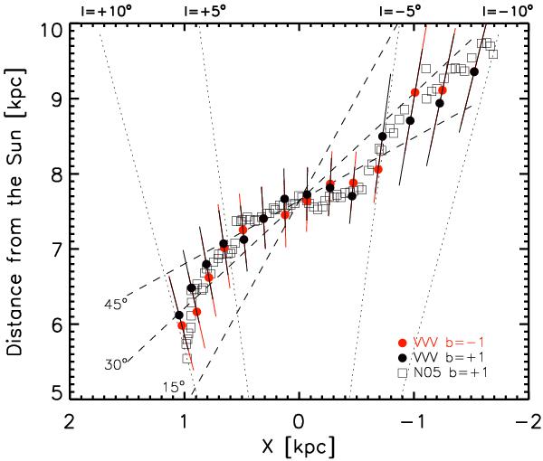
Position of the Galactic bar with respect to the Sun as measured with the RC method assuming a mean RC magnitude of MK = −1.55. Red and black filled circles show the results for VVV data at latitudes b = −1° and b =  +1°, respectively. Solid lines show the distance spread along each line of sight correcting for an intrinsic bulge dispersion of 0.17 mag and photometric errors. Black open squares are the results from N05 at b =  +1. Dashed lines represent the observed orientation angles for true orientations of 15°, 30°, and 45° following Stanek et al. (1994). Dotted lines show the lines of sight for longitudes l =  ±5 and l ± 10.

Current usage metrics show cumulative count of Article Views (full-text article views including HTML views, PDF and ePub downloads, according to the available data) and Abstracts Views on Vision4Press platform.

Data correspond to usage on the plateform after 2015. The current usage metrics is available 48-96 hours after online publication and is updated daily on week days.

Initial download of the metrics may take a while.