Free Access

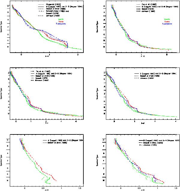
Fig. 1

thumbnail

Compilation of spectral type versus color relation in the litterature for luminosity class I (blue), III (red) and V (green). The adopted values of these relations in SearchCal faint-object are showed with the circle with the same color label for the three luminosity classes.

Current usage metrics show cumulative count of Article Views (full-text article views including HTML views, PDF and ePub downloads, according to the available data) and Abstracts Views on Vision4Press platform.

Data correspond to usage on the plateform after 2015. The current usage metrics is available 48-96 hours after online publication and is updated daily on week days.

Initial download of the metrics may take a while.