Free Access
Fig. 1

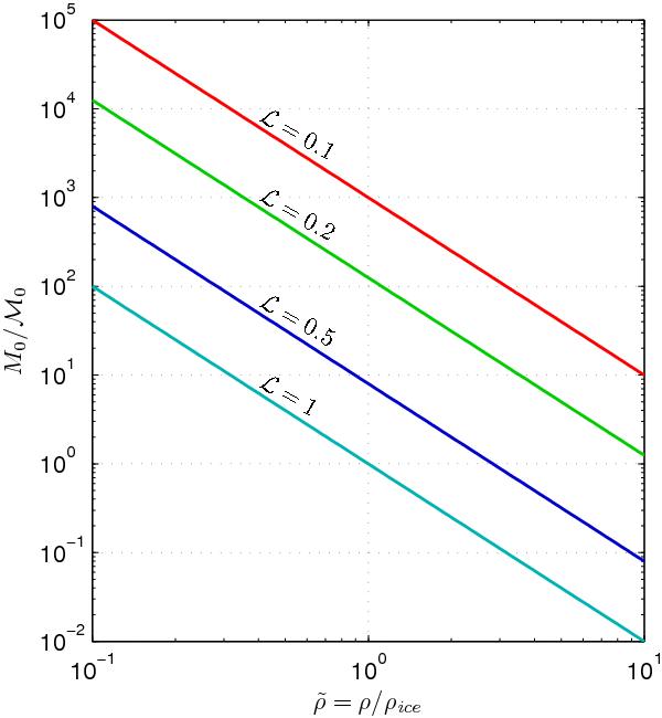
Conversion factor Mo/ℳo from ice equivalent mass ℳo to real mass Mo versus for
– Eq. (20). For our canonical values
, the true mass Mo = 4 × ℳo since comet nuclei are less dense than ice so easier to evaporate. This figure is available in colour in electronic form.
Current usage metrics show cumulative count of Article Views (full-text article views including HTML views, PDF and ePub downloads, according to the available data) and Abstracts Views on Vision4Press platform.
Data correspond to usage on the plateform after 2015. The current usage metrics is available 48-96 hours after online publication and is updated daily on week days.
Initial download of the metrics may take a while.