Free Access
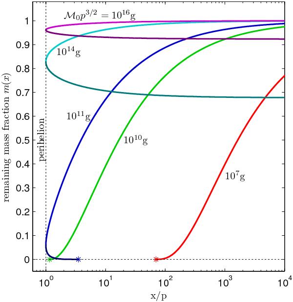
Fig. 2

m(x) versus x/p for various ℳop3/2 showing cases of survival of sublimation through an orbit, and of terminal mass loss before and after perihelion. This figure can be used for any values of Mo,p,ρ,ℒ because of the scaling and combination of variables used. This figure is available in colour in electronic form.
Current usage metrics show cumulative count of Article Views (full-text article views including HTML views, PDF and ePub downloads, according to the available data) and Abstracts Views on Vision4Press platform.
Data correspond to usage on the plateform after 2015. The current usage metrics is available 48-96 hours after online publication and is updated daily on week days.
Initial download of the metrics may take a while.