Highlight
Free Access

Fig. 14

thumbnail

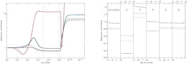
Underpopulation of the hydrogen n = 4 level (compared to n = 5) in the outer photospheres of late-type O-dwarfs with very thin winds (pure H/He model atmosphere). Left: departure coefficients for n = 1,2,4,5 (dashed-dotted, solid, dotted, dashed), accounting for all processes (radiative and collisional). Overplotted are the corresponding departure coefficients (red, blue, green, magenta) as resulting from a NLTE solution discarding the collisional processes. Note the underpopulation of n = 4 compared to n = 5 in the outer photosphere (responsible for the line core emission in Brα), which is no longer present in the wind. Right: departure coefficients of n = 2,4,5 (solid, dotted, dashed) in the outermost photosphere (corresponding to the region embraced by dotted lines on the left), as resulting from the complete NLTE solution and various approximations, the latter all without collisions: 2: nebula approximation (Case A); 3: as 2, but including excitation/induced deexcitation from resonance lines (roughly Case B); 4: as 3, but including ionization from excited states; 5: as 4, but including excitation/deexcitation from all lines with lower level n ≤ 3; 6: as 4, but including excitation/deexcitation from all lines with lower level n ≤ 5 (see text).

This figure is made of several images, please see below:

Current usage metrics show cumulative count of Article Views (full-text article views including HTML views, PDF and ePub downloads, according to the available data) and Abstracts Views on Vision4Press platform.

Data correspond to usage on the plateform after 2015. The current usage metrics is available 48-96 hours after online publication and is updated daily on week days.

Initial download of the metrics may take a while.