Free Access
Fig. 10

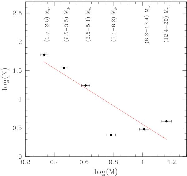
Mass function for Sh2-152. The points indicate the central position of the mass range indicated above, equivalent to KS magnitude bins of 0.8. The continuous red line shows the best linear fit to the data.
Current usage metrics show cumulative count of Article Views (full-text article views including HTML views, PDF and ePub downloads, according to the available data) and Abstracts Views on Vision4Press platform.
Data correspond to usage on the plateform after 2015. The current usage metrics is available 48-96 hours after online publication and is updated daily on week days.
Initial download of the metrics may take a while.