Free Access

Fig. 8

thumbnail

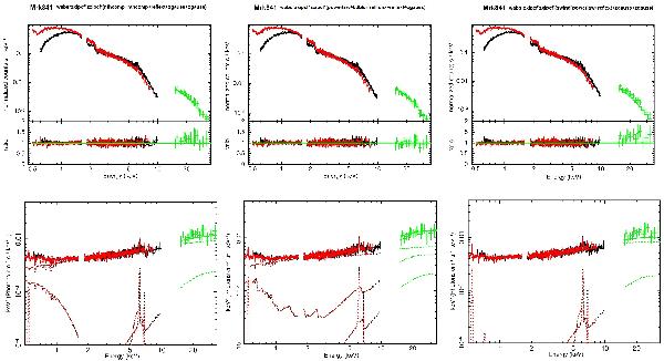
Top: Mrk 841 data (sum of Suzak observations) and, in the subplot, data-to-model ratio. Bottom: unfolded data. Colour code for the different Suzaku instruments: XIS/FI-black, XIS1-red, and HXD/PIN-green. Three different models are shown, from left to right: double Comptonisation, blurred reflection and smeared absorption. Solid lines correspond to the best-fit model, and thin dashed lines to the model different components. A broad emission-line component is added for the double Comptonisation and the smeared absorption model only. The energy on the abscissa is in the observer frame. The data were rebinned for clarity purposes.

Current usage metrics show cumulative count of Article Views (full-text article views including HTML views, PDF and ePub downloads, according to the available data) and Abstracts Views on Vision4Press platform.

Data correspond to usage on the plateform after 2015. The current usage metrics is available 48-96 hours after online publication and is updated daily on week days.

Initial download of the metrics may take a while.