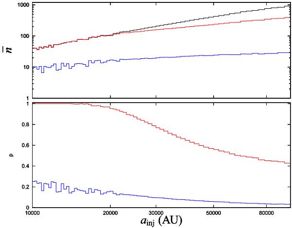
Fig. 8

Top: mean number of perturbing stars during the last orbital period of injected comets versus the semi-major axis at injection (black line) and number of perturbing stars detected by Gaia (red line) and Hipparcos (blue line). Only quiescent comets are considered. Bottom: fraction of perturbing stars observed by Gaia (red line) and Hipparcos (blue line) versus the semi-major axis at injection.
Current usage metrics show cumulative count of Article Views (full-text article views including HTML views, PDF and ePub downloads, according to the available data) and Abstracts Views on Vision4Press platform.
Data correspond to usage on the plateform after 2015. The current usage metrics is available 48-96 hours after online publication and is updated daily on week days.
Initial download of the metrics may take a while.