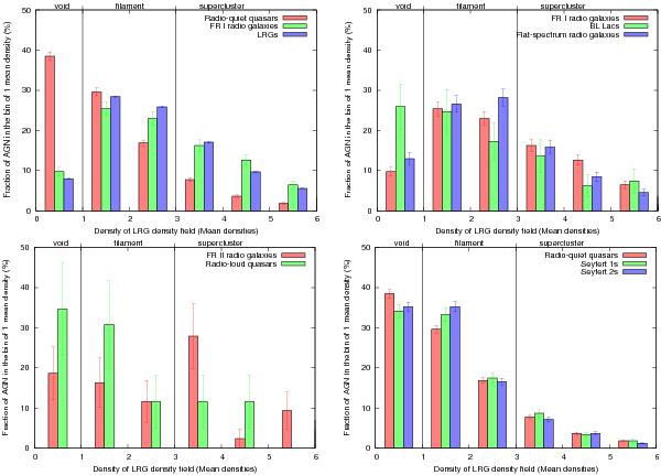
Fig. 4

Distributions of AGN in different levels of environmental density in the luminosity-density field of LRGs. The top-left panel shows the distributions of radio-quiet quasars, FR I radio galaxies, and LRGs. FR I radio galaxies, BL Lac objects, and flat-spectrum radio galaxies are shown in the top-right panel and FR II radio galaxies and radio-loud quasars in the bottom-left panel. The bottom-right panel shows the distributions of radio-quiet quasars and Seyfert galaxies. Densities are shown in units of mean density of the density field. Error bars show Poissonian errors. The vertical lines separate the density levels of voids, filaments, and superclusters.
Current usage metrics show cumulative count of Article Views (full-text article views including HTML views, PDF and ePub downloads, according to the available data) and Abstracts Views on Vision4Press platform.
Data correspond to usage on the plateform after 2015. The current usage metrics is available 48-96 hours after online publication and is updated daily on week days.
Initial download of the metrics may take a while.