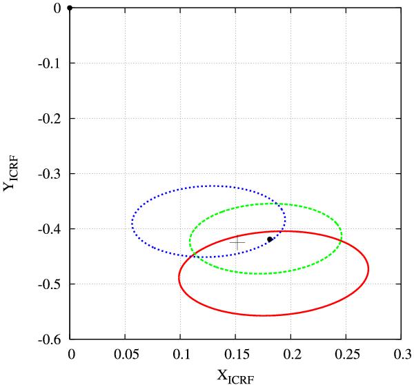
Fig. 2

Projection of the positions of the pole of rotation in the ICRF plane inferred by Thomas et al. (2005), red line; Carry et al. (2008), blue dotted line; Drummond & Christou (2008), green shaded line, from space telescope and ground-based measurements. The black dot represents the position of the orbital pole (Giorgini et al. 1996). The cross represents the mean intersection of the three measurements and the ellipses the uncertainties.
Current usage metrics show cumulative count of Article Views (full-text article views including HTML views, PDF and ePub downloads, according to the available data) and Abstracts Views on Vision4Press platform.
Data correspond to usage on the plateform after 2015. The current usage metrics is available 48-96 hours after online publication and is updated daily on week days.
Initial download of the metrics may take a while.