Free Access
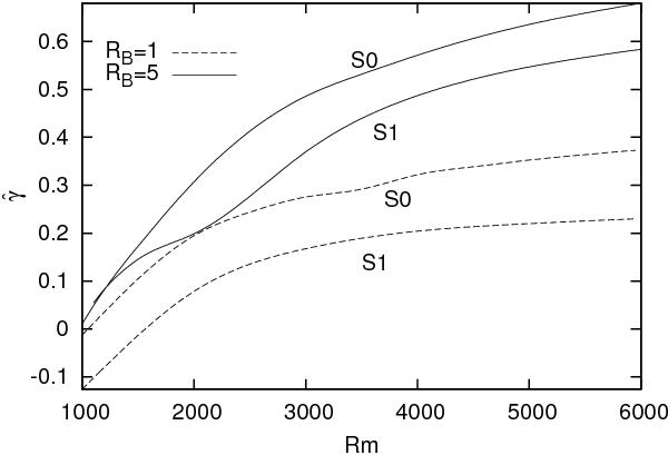
Fig. 2

is a nondimensionalized growth rate (
, where γ is in physical units), of the S0 and S1 modes, for RB = 1 and 5. The profiles for A0 and A1 are very similar, and are not shown here.
Current usage metrics show cumulative count of Article Views (full-text article views including HTML views, PDF and ePub downloads, according to the available data) and Abstracts Views on Vision4Press platform.
Data correspond to usage on the plateform after 2015. The current usage metrics is available 48-96 hours after online publication and is updated daily on week days.
Initial download of the metrics may take a while.