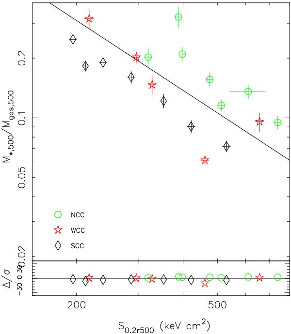
Fig. 4

Stellar-to-gas mass ratio within r500 vs. gas entropy at 0.2r500 and the best fit in the upper panel, as well as the residuals normalized by the error bars in the lower panel. The symbols have the same meaning as those in Fig. 1. The data support the interpretation that heating from merging quenches the star-formation activity of galaxies in massive systems, and feedback from supernovae and/or radio galaxies drives a significant amount of gas to the regions beyond r500 or, alternatively, a substantially higher stellar mass fraction in the ICL is present in nonrelaxed systems (e.g., Pierini et al. 2008).
Current usage metrics show cumulative count of Article Views (full-text article views including HTML views, PDF and ePub downloads, according to the available data) and Abstracts Views on Vision4Press platform.
Data correspond to usage on the plateform after 2015. The current usage metrics is available 48-96 hours after online publication and is updated daily on week days.
Initial download of the metrics may take a while.