Free Access
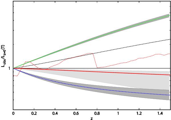
Fig. 7

Redshift evolution of the LX–T relation. Red-dashed line: Estimated mean bias of the combined sample rescaled to remove the effects of bias in the local scaling relation. Additional lines and confidence areas have the same meaning as in Fig. 6.
Current usage metrics show cumulative count of Article Views (full-text article views including HTML views, PDF and ePub downloads, according to the available data) and Abstracts Views on Vision4Press platform.
Data correspond to usage on the plateform after 2015. The current usage metrics is available 48-96 hours after online publication and is updated daily on week days.
Initial download of the metrics may take a while.