Free Access

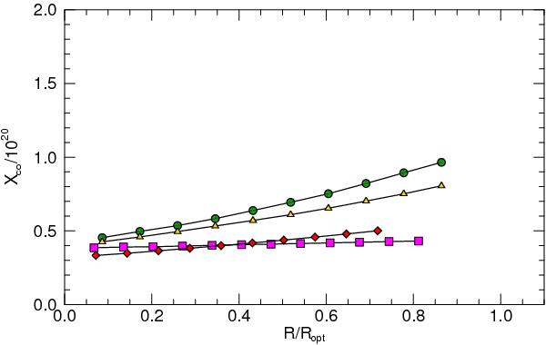
Fig. 7

thumbnail

Radial variation of XCO in the four galaxies with the metallicity computed with the calibration KK04 and the dependence in Eq. (1): NGC 4254 (green circles), NGC 4303 (red diamonds), NGC 4321 (yellow triangles), and NGC 4501 (magenta squares).

Current usage metrics show cumulative count of Article Views (full-text article views including HTML views, PDF and ePub downloads, according to the available data) and Abstracts Views on Vision4Press platform.

Data correspond to usage on the plateform after 2015. The current usage metrics is available 48-96 hours after online publication and is updated daily on week days.

Initial download of the metrics may take a while.