Free Access

Fig. 2

thumbnail

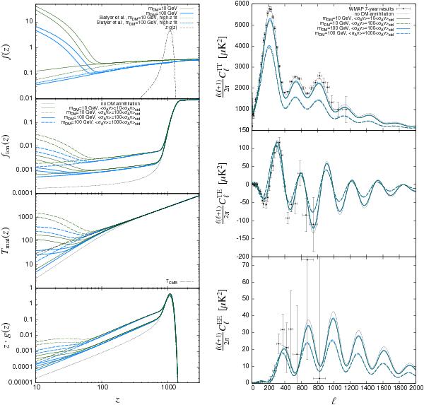
Lefthand column from top to bottom: (i) f-parameters for the μ-channel assuming mDM = 10 GeV (dark solid lines) and mDM = 100 GeV (light solid lines). In both cases, the lowest curve out of the triple of lines corresponds to only the smooth background, the middle one includes halos with a lower mass cutoff of 10-6   M, while the top one has 10-9   M. The dotted lines represent high-redshift fits (valid for z ≳ 170) as given by Slatyer et al. (2009). The dashed line shows the CMB visibility function. Here zg(z)dlnz gives the probability that the CMB photon last scattered in the logarithmic redshift interval dlnz centered on redshift z. (ii) Fraction of free electrons as a function of redshift for mDM = 10 GeV and 100 GeV, along with two values for  ⟨ σAυ ⟩ /( ⟨ σAυ ⟩ stdmDM [ GeV] ): 1 and 10. Here  ⟨ σAυ ⟩ std = 3  ×  10-26 cm3 s-1 is the standard thermal cross section. For the meaning of each line, see the description given in the legend. The lowest dotted line represents the standard ΛCDM case with no additional energy input from the annihilating DM. (iii) Matter temperature as a function of redshift. The models shown are exactly the same as in the panel above. The long dashed line compares the temperature of CMB. (iv) The CMB visibility function g(z) times redshift z for the same models as shown in the above two panels. Righthand column from top to bottom: (i) angular power spectra of CMB temperature fluctuations for the same models as already given above. (ii) Temperature and E-mode polarization cross-spectra. (iii) E-mode polarization spectra. In all of the righthand panels the points with errorbars show the 7-year measurements by the WMAP space mission.

Current usage metrics show cumulative count of Article Views (full-text article views including HTML views, PDF and ePub downloads, according to the available data) and Abstracts Views on Vision4Press platform.

Data correspond to usage on the plateform after 2015. The current usage metrics is available 48-96 hours after online publication and is updated daily on week days.

Initial download of the metrics may take a while.