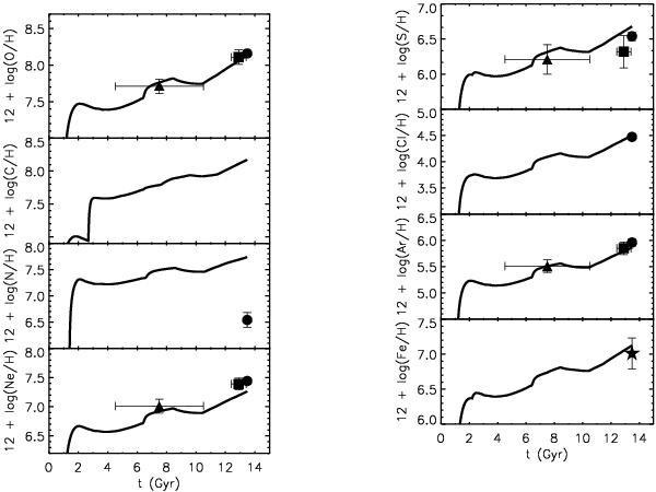
Fig. 3

Chemical evolution of elements in NGC 6822 as predicted by model M4C. To reproduce the observed Mgas value and the different heavy element abundances obtained from collisionally excited lines for H ii regions, a well-mixed galactic wind lasting from 1.2 to 6.5 Gyr and an Mup = 40 M⊙ are assumed in this model. The O/H value of H ii regions has been corrected for dust depletion, as explained in Sect. 4.1. The filled circles, filled squares, and filled triangles represent the average observational values for H ii regions, young, and old PN populations, respectively. The filled star in the Fe/H panel represents the value derived by Venn et al. (2001) for A-type supergiant stars. Observed C/H value is not shown because there is no observed value from CELs.
Current usage metrics show cumulative count of Article Views (full-text article views including HTML views, PDF and ePub downloads, according to the available data) and Abstracts Views on Vision4Press platform.
Data correspond to usage on the plateform after 2015. The current usage metrics is available 48-96 hours after online publication and is updated daily on week days.
Initial download of the metrics may take a while.