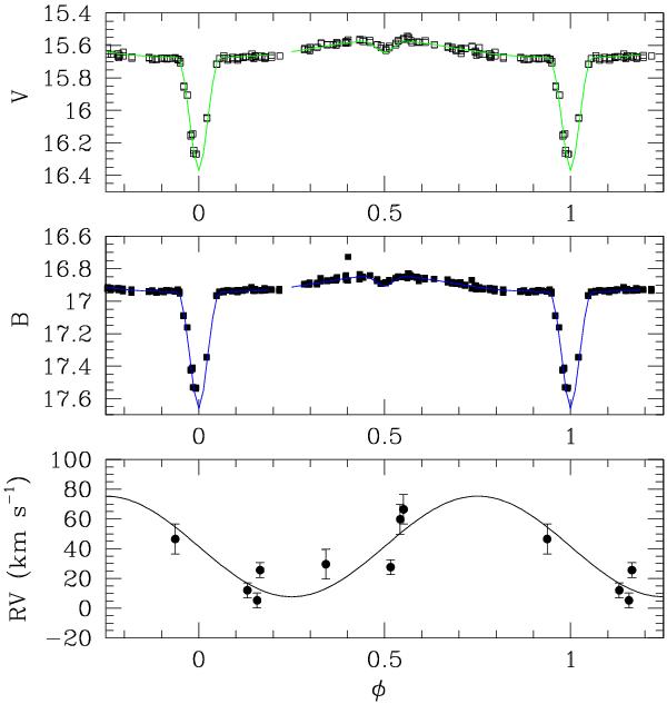
Fig. 8

Combined solution of the light curve and the SB1 RV curve of MSP 44. The parameters of the light curve model are m2/m1 = 0.125, i = 80.6°, primary and secondary radii of 5.2 and 5.6 R⊙ respectively, and mean surface temperatures of T1 = 29 100 K (fixed) and T2 = 6440 K. The secondary star features a hot spot facing the primary with a radius of 45° and a temperature enhanced by a factor 1.76.
Current usage metrics show cumulative count of Article Views (full-text article views including HTML views, PDF and ePub downloads, according to the available data) and Abstracts Views on Vision4Press platform.
Data correspond to usage on the plateform after 2015. The current usage metrics is available 48-96 hours after online publication and is updated daily on week days.
Initial download of the metrics may take a while.