Free Access
Fig. A.2

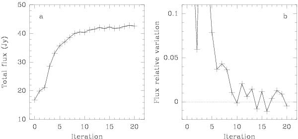
a) Convergence of the total 870 μm flux recovered in Cha III by the iterative process of data reduction. b) Relative flux variation between iterations i and i − 1 as a function of iteration number i.
Current usage metrics show cumulative count of Article Views (full-text article views including HTML views, PDF and ePub downloads, according to the available data) and Abstracts Views on Vision4Press platform.
Data correspond to usage on the plateform after 2015. The current usage metrics is available 48-96 hours after online publication and is updated daily on week days.
Initial download of the metrics may take a while.