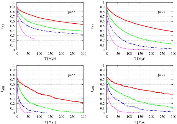
Fig. 5

Top-right panel: decay of the whole asteroid belt population in simulations where the embryo has Q = 3.3 AU. The red curves pertain to an embryo with 1 lunar mass, the green curves are for 2.5 lunar masses, the blue curves are for 5 lunar masses and the magenta curves are for the 10 lunar mass (Mars mass) embryo. Top-left panel: same as top-right but for an embryo with Q = 2.5 AU. Bottom panels: the same as the top panels but for the inner belt only.
Current usage metrics show cumulative count of Article Views (full-text article views including HTML views, PDF and ePub downloads, according to the available data) and Abstracts Views on Vision4Press platform.
Data correspond to usage on the plateform after 2015. The current usage metrics is available 48-96 hours after online publication and is updated daily on week days.
Initial download of the metrics may take a while.