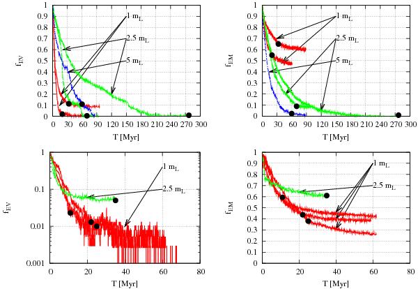
Fig. 7

Decay of the putative belts of small bodies in between terrestrial planets. The left panels refer to the EV belt, the right panels to the EM belt. The top panels are for embryos having an initial q = 1.2 AU and the bottom panels for embryos with initial q = 0.8 AU. The mass of Planet V is 1 lunar mass (red curves), 2.5 lunar mass (green) and 5 lunar mass (blues). The large bullets in the plots mark the time when the embryo was removed from the simulation, either through ejection or collision. Arrows indicate the mass of the embryo corresponding to each curve.
Current usage metrics show cumulative count of Article Views (full-text article views including HTML views, PDF and ePub downloads, according to the available data) and Abstracts Views on Vision4Press platform.
Data correspond to usage on the plateform after 2015. The current usage metrics is available 48-96 hours after online publication and is updated daily on week days.
Initial download of the metrics may take a while.