Free Access

Fig. 11

thumbnail

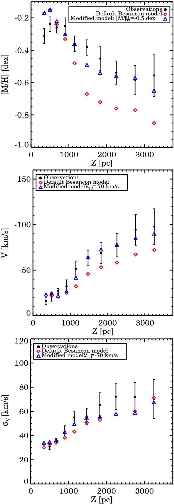
Median metallicities and V-velocities at different height bins above the Galactic plane. Each point has 1σ uncertainties, obtained from 5 × 103 Monte-Carlo realisations on the position of the stars (and hence their velocities) and their metallicities. Red diamonds represent the predictions of the raw Besançon model, whereas the blue triangles represent a modified model with metal-richer thick disc and halo, and a thick disc that lags behind the LSR by  km s-1.

This figure is made of several images, please see below:

Current usage metrics show cumulative count of Article Views (full-text article views including HTML views, PDF and ePub downloads, according to the available data) and Abstracts Views on Vision4Press platform.

Data correspond to usage on the plateform after 2015. The current usage metrics is available 48-96 hours after online publication and is updated daily on week days.

Initial download of the metrics may take a while.