Free Access

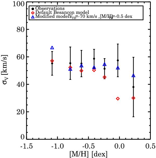
Fig. 12

thumbnail

V-velocity dispersion for different metallicity bins for the stars lying between 1 < Z < 4 kpc above the plane. Red diamonds represent the raw Besançon model, whereas the blue triangles represent the model with our preferred model, which has a mean metallicity −0.5 dex, and a mean Galactic rotational velocity  km s-1 for the thick disc.

Current usage metrics show cumulative count of Article Views (full-text article views including HTML views, PDF and ePub downloads, according to the available data) and Abstracts Views on Vision4Press platform.

Data correspond to usage on the plateform after 2015. The current usage metrics is available 48-96 hours after online publication and is updated daily on week days.

Initial download of the metrics may take a while.