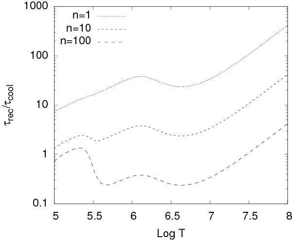
Fig. 9

A comparison of the oxygen recombination timescale with the cooling timescale at different densities. Low density favours the appearance of an overionised plasma, because the recombination timescale lowers proportional to the density, as does radiative cooling, but radiative cooling only becomes important at log T ≤ 106 K. These curves where calculated using LMC abundances. It should be noted that a plasma at LMC abundances is less likely to reach an over-ionised state at T < 106 K, because of the lower radiative cooling rate.
Current usage metrics show cumulative count of Article Views (full-text article views including HTML views, PDF and ePub downloads, according to the available data) and Abstracts Views on Vision4Press platform.
Data correspond to usage on the plateform after 2015. The current usage metrics is available 48-96 hours after online publication and is updated daily on week days.
Initial download of the metrics may take a while.