Free Access

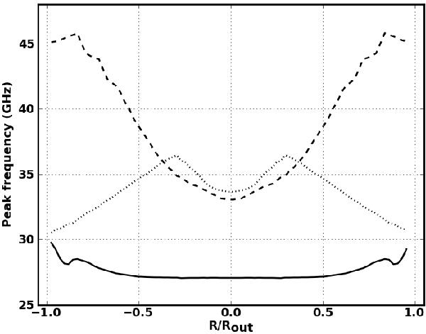
Fig. 9

thumbnail

Peak frequency of the spinning dust emission for the molecular cloud with n0 = 103 cm-3 (dotted line), 104 cm-3 (dashed line), and 105 cm-3 (solid line).

Current usage metrics show cumulative count of Article Views (full-text article views including HTML views, PDF and ePub downloads, according to the available data) and Abstracts Views on Vision4Press platform.

Data correspond to usage on the plateform after 2015. The current usage metrics is available 48-96 hours after online publication and is updated daily on week days.

Initial download of the metrics may take a while.