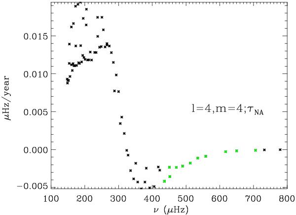
Fig. 10

Change in the rotational splitting of the ℓ = 1, ν = 2807.5 μHz p-mode owing to the ℓ = 4, m = 4 g-modes, considering the τNA term. Here we assume the same energy for all modes and fix it so that vobs = 1 km s-1 for ℓ = 3,ν = 276 μHz at log τR = −3. Black points are for stable modes and green points for the unstable ones. Model 1 was used.
Current usage metrics show cumulative count of Article Views (full-text article views including HTML views, PDF and ePub downloads, according to the available data) and Abstracts Views on Vision4Press platform.
Data correspond to usage on the plateform after 2015. The current usage metrics is available 48-96 hours after online publication and is updated daily on week days.
Initial download of the metrics may take a while.