Free Access
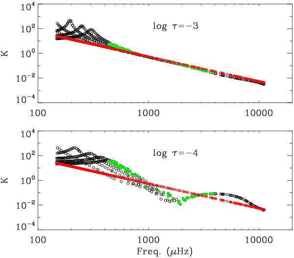
Fig. 8

K ratio between horizontal and radial components of the displacement vector at optical depths log τR = −3 and log τR = −4. Black points include all linearly stable modes while green points are for the unstable ones (Model 1). Red crosses are the ratios expected by the approximate Eq. (12).
Current usage metrics show cumulative count of Article Views (full-text article views including HTML views, PDF and ePub downloads, according to the available data) and Abstracts Views on Vision4Press platform.
Data correspond to usage on the plateform after 2015. The current usage metrics is available 48-96 hours after online publication and is updated daily on week days.
Initial download of the metrics may take a while.