Fig. 10

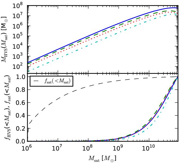
Upper panel: mass ejected at unbound velocities during one satellite orbit as a function of initial progenitor mass. The satellite is assumed to have zero initial orbital energy, i.e. to be on a parabolic orbit. Different lines correspond to four different initial angular momenta of the satellite. The vertical dashed line indicates the mass of a single star particle in our simulations. Lower panel: mass fraction of an unbound intergalactic population originating in satellites with masses below Msat. The fraction were computed using satellite mass function based on the satellite luminosity function of Koposov et al. (2008). The mass function is also shown as a thin dashed line.
Current usage metrics show cumulative count of Article Views (full-text article views including HTML views, PDF and ePub downloads, according to the available data) and Abstracts Views on Vision4Press platform.
Data correspond to usage on the plateform after 2015. The current usage metrics is available 48-96 hours after online publication and is updated daily on week days.
Initial download of the metrics may take a while.